徠卡機器人全站儀助力三等水準測量
一、前言
目前高程測量方法一般分為幾何水準測量、GPS水準測量和三角高程測量三大類。采用傳統水準的方法測定點與點之間的高差,所得到的地面點高程精度較高,普遍用于建立國家高程控制點及測定高等級地形控制點的高程。對于地面高低起伏較大的地區,采用這種方法測定地面點的高程進程緩慢,有時甚至非常困難。

精密三角高程測量在丘陵地、山地、高山地區相比常規水準測量,因架站少、架站自由、靈活、快速,不需要量測儀器、棱鏡高,傳遞高程優勢顯著,能大大降低外業勞動強度,但受限于全站儀的硬件性能,此前一直未能在生產中實際應用;徠卡測量機器人的出現,打破了三角高程測量不能代替高精度水準測量的束縛,徠卡自動全站儀多測回自動觀測、自動識別限差,給野外測量帶來很大的便利,尤其夜間觀測成果更佳。
二、精密三角高程測量技術的可行性研究

作業流程:
檢測棱鏡互差,并檢核棱鏡的加裝是否符合要求,同時還要對全站儀進行組合檢校;
在起點布設棱鏡桿,在距離起點較近的一點(轉點1),布設主站;
主站在轉點1依次觀測棱鏡桿低棱鏡(①)和棱鏡桿高棱鏡(②);
主站不動,在轉點2架設輔站。依次進行如下觀測:后測站觀測低棱鏡(③)、前測站觀測低棱鏡(④)、前測站觀測高棱鏡(⑤)、后測站觀測高棱鏡(⑥);
主站換站至轉點3,輔站不動。依次進行如下觀測:后測站觀測低棱鏡(⑦)、前測站觀測低棱鏡(⑧)、前測站觀測高棱鏡(⑨)、后測站觀測高棱鏡(⑩);
輔站換站,依次循環進行高程的傳遞至接近末點處;
在最后的轉站,主站依次觀測末點高低棱鏡。
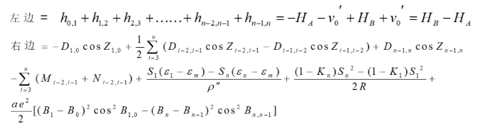
數據模型:

限差

三、項目驗證
為了驗證精密三角高程測量的精度, 內蒙古自治區測繪院使用徠卡TCRA1201全站儀、徠卡TS30全站儀及徠卡TS60全站儀等檢測了很多段用數字電子水準儀測得二等水準路線。其結果如表所示, 精密三角高程測量是完全可以達到二等水準測量的要求。

四、經驗積累、廣泛應用
自2010年5月以來,內蒙古自治區測繪院在呼和浩特、包頭、鄂爾多斯、巴彥淖爾市、烏蘭察布市、赤峰市已成功的使用徠卡自動全站儀精密三角高程測量代替二等水準測量1700多千米;在烏蘭察布市、呼倫貝爾市、興安盟、赤峰市等地方成功的使用徠卡自動全站儀精密三角高程測量代替三等水準測量4000多千米。

經過數年的研究,不同時間,不同區域,所測得的數據基本都能滿足國家二等水準測量規范的要求。徠卡自動全站儀搭配三角高程測量軟件、計算軟件和正確的測量方法,達到了目的和效果。同時我們也積累了諸多的外業經驗:
盡可能使用無伸縮腳架觀測,測段起、末水準點上,對中桿要放穩,保持高度不。
對向觀測時,如一站觀測時間過長,應重測對向觀測。
白天平均氣溫超過26℃時,在保障安全的作業前提下,最好在夜間作業,提前踏勘、選定觀測路線和測站點,更能顯著提高作業效率。
白天作業視線長度不宜超過800米,經過大量測量數據證明500米左右為最佳觀測距離。
白天作業時間遵照水準測量規范上的要求,由于在陽光直射和地面溫度較高,熱氣浪大時大氣折光影響較大。
自動照準觀測,視場內不能有遮擋物在棱鏡前。
視線不能通過煙火上空,觀測目標背后不能有大面積反光地物(蔬菜大棚),大面積水域。
在ATR自動照準時盡量避免陽光直射,由于正對太陽時,在自動照準光路中會有噪聲,從而影響自動照準的精度。

五、總結
傳統二、三等水準在山地、高山的測量中,需要耗費大量的人力、物力和財力,且效率極低。以傳統水準測量為例,在山地連測二、三等水準,單程連續觀測前后視距5-10米,一站一站連測,一個組一天連測3-5公里左右,依據財政部、國家測繪局2009 年頒布的《測繪生產成本費用定額》計算,100個水準點需要聯測1000千米。若對這些點進行二等水準觀測,100個水準點觀測的費用為207萬元,一個組5人需要400天完成。而同樣任務利用徠卡自動全站儀精密三角高程聯測二等水準,一個組一天聯測8-10公里左右,200天以內就可以完成1000千米的水準測量,節省大量的人力、物力。應用徠卡自動全站儀精密三角高程代替二、三等水準測量在困難地區聯測,可產生巨大的經濟效益。
徠卡自動全站儀精密三角高程測量具有傳遞高程靈活、方便、受地形條件限制較少等優點,徠卡測量機器人超高的測角測距精度,為精密三角高程測量提供了硬件保障,目前徠卡自動全站儀精密三角高程測量在大地測量、工程測量中得到了廣泛的應用。
更多相關
昆山市城建測繪有限公司工程測量部工作紀實
昆山市城建測繪有限公司是一家具有工程測量、不動產測繪、地理信息系統工程及海洋測量乙級資質的專業測繪機構。自公司成立至今,工程測量部的每一位測繪人一直堅持寧可自己多流汗也不讓數據出差錯的原則,每...
熱烈祝賀新《中華人民共和國測繪法》正式施行
2017年7月1日,是偉大的中國共產黨96歲生日,也是新修訂的《中華人民共和國測繪法》(以下簡稱《測繪法》)實施之日。《測繪法》是為了加強測繪管理,促進測繪事業發展,保障測繪事業為經濟建設、國防建...
使用全站儀測量前需要做哪些準備?
使用全站儀測量前需要做哪些準備?使用全站儀進行測量之前,需要進行一系列的準備工作,以確保測量的準確性和效率。以下是一些基本步驟:1.設備檢查:檢查全站儀是否完好無損,包括目鏡、物鏡、電池、數據存儲器...
徠卡GeoMoS CH自動化監測系統在深圳地鐵1號線西鄉站的應用
深圳地鐵1號線是中國廣東省深圳市第一條建成運營的地鐵線路。一期工程于2004年12月28日通車試運營,二期工程(西延線)于2011年6月15日通車試運營。1號線東起羅湖區羅湖站,途經福田區和南山區...
南極測繪科考事業發展紀實
南極是人類認識最晚的一塊大陸,被稱為第七大陸,以其神秘、圣潔吸引了無數人的目光,美國、俄羅斯、法國、英國等國先后在這里建立了眾多科學考察站。作為極地科考的后來者,中國伴隨著改革開放的步伐,自上世紀...
科力達舉行2019年RTK產品培訓會及工作會議
近日,2019年科力達工作會議及RTK產品培訓會在粵舉行,科力達全體工作人員參加此次會議,科力達全體技術工程師參加RTK培訓并通過考核。此次會議以“爭市場、有作為、戰己亥”為主題,會上,各部門對2...
RTK控制點測量攻略分享,新手秒變高手!
在RTK進行控制點測量時,為了提高測量的精度,避免人為誤差,需要用到“控制點測量”功能。 RTK控制點測量操作攻略 首先用支架將移動站固定在控制點上,對中整平。打開手簿的工程之星5.0軟件主界...
繼2019年RTK大單后,又發貨1000臺!南方測繪再次拿下印尼國土資源部大單
為了滿足印度尼西亞土地局提升土地認證的效率 印尼再次全球采購大批RTK 2020年4月 南方測繪再次拿下1000臺的RTK訂單 在當前這個特殊的時期下 20天的時間內 生產基地迅速完成...











環球測繪微信