精密三角高程在長距離一等跨河水準測量中的應用
通過分析長距離跨河水準測量的高差計算模型,針對三角高程測量中各精度影響因素制定合理的施測方案,并通過工程實例予以可行性驗證。結果表明: 采用高精度儀器、特制的覘燈,并遵循科學的觀測方法,能夠有效減弱垂直角觀測及大氣折光對三角高程測量精度的影響,并使其滿足長距離跨河水準測量的精度要求。
引言
當水準路線通過江河、湖泊時,通常采用跨河水準測量法施測。根據《國家一、二等水準測量規范》( GB/T12897-2006) ,跨河水準測量可以采用的方法有光學測微法、傾斜螺旋法、經緯儀傾角法、測距三角高程法和GPS測量法。其中測距三角高程法具備如下優點: ①不要求儀器和觀測員頻繁調岸,有利于提高作業效率; ②對跨河場地的要求更低,兩岸跨河點不必等高; ③適用的跨河距離較長。但在實際作業中,仍然存在一些因素影響著測量成果的精度,制約著測量工作的效率。尤其在高精度、長距離跨河水準測量工作中,這些影響因素的存在更加不容忽視。鑒于此,本文通過分析和研究,制訂出合理的施測方案,并在蘇通段一等跨河水準測量中予以驗證。
1、長距離跨河水準測量精度影響因素分析
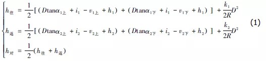
長距離跨河水準測量通常采用對向觀測的方法,其高差計算模型如公式( 1) 所示:

式中,D 為視線水平距離; α下、α上 為覘標上下標志所對應的垂直角; i 為儀器高,v1、v2 分別為覘標上下標志高度; h 為儀器安置點至覘標安置點間的高差; R 為地球曲率半徑; k1、k2 為大氣折光系數。
由式( 1) 可知,影響高差計算精度的主要因素有距離測量、垂直角測量、儀器高和覘標高量測所帶來的誤差,同時還應顧及大氣折光的影響:
1) 由于兩岸觀測點高差不大,因此,距離觀測誤差的影響基本可以忽略;
2) 垂直角觀測誤差是三角高程測量誤差的主要來源,并與觀測距離成正比;
3) 儀器高和覘標高誤差比較容易控制,不是三角高程測量誤差的主要來源;
4) 大氣折光誤差與溫度、氣流等不可見因素有關,并且k 值無法精確求得,因此是三角高程測量誤差的主要來源。
在測量工作中,針對以上各方面因素需制定合理的施測方案以最大限度地減弱其影響,從而滿足長距離跨河水準測量對三角高程測量的精度要求。
2、長距離跨河水準測量施測方案
2.1 選點與造標
在長距離跨河水準測量中,需要具備較多的圖形檢核條件,應此將跨江點布設呈大地四邊形如圖1所示 。觀測墩墩面距江面高度應不低于m( S 為跨河視線長度千米數) 。

為減小測線上的大氣折光不均勻對垂直角測量的影響,要求兩岸觀測墩處的地形、地貌近似,高差不大; 同時為保證往、返測線穿過同一個大氣介質,需在每個觀測墩面設置兩個強制對中裝置,分別安置儀器和覘標,如圖2所示: A、B、C、D 為儀器安置點,A-1、B-1、C-1、D-1 為覘標安置點。

2.2 覘燈的設計及高度標定
為提高垂直角觀測精度,在長距離跨河水準測量中采用特制的覘燈作為觀測目標,并且在設計中應注意以下幾點:
1) 燈桿與燈筒相連處應采用弧形設計,并且弧度嚴格吻合,防止燈筒滑動;
2) 燈桿下端采用基座固定,并且保證觀測時燈桿下端與強制對中連接螺絲上端嚴密接觸;
3) 采用鹵鎢杯燈( 50W) 作為發光部,可防止觀測時測燈出現散光及目標模糊現象;
4) 覘燈電源應具備足夠的蓄電量,并且設計調控裝置,在保證測量工作順利進行的同時能夠在不同的光照條件下調節覘燈的亮度。
覘燈上下標志高度的標定在室內進行。方法為: 采用線紋尺在燈桿連接孔之間進行往返觀測,往測順序為:上孔上沿—上孔下沿—下孔上沿—下孔下沿; 返測順序與往測順序相反。以往返測高度的均值作為覘燈高度標定的最終成果。
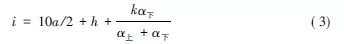
2.3 儀器的選擇及高度標定
在長距離跨江水準測量中需采用兩臺測角精度為0.5″的全站儀同時進行對向觀測。儀器高度的標定選在固定兩點間( 高差為一等水準測量成果) ,利用銦瓦水準標尺在測前、測中、測后分三次進行標定。首次標定時需用膠布將儀器腳螺旋固定,取三次標定結果中數作為全站儀高度標定的最終成果。計算方法如式2、式3 所示:
當全站儀中絲位于標尺分劃線上時:
![]()
式中,α 為照準標尺的分劃讀數; h 為測站點至立尺點高差; k 為標尺分劃線寬; α下 和α上 分別為分劃上、下邊緣垂直角絕對值。
當全站儀中絲位于標尺兩分劃線之間時:
![]()
式中,k 為標尺相鄰分劃線間隔; α上 為上分劃線上、下邊緣垂直角中數的絕對值; α下 為下分劃線上、下邊緣垂直角中數的絕對值。
2.4 距離測量
全站儀的測程往往難以滿足長距離跨河水準測量的測距要求,且測距誤差并非三角高程測量的主要誤差來源,因此采用GPS 測量法。考慮到多路徑效應對觀測結果的影響,應采用扼流圈天線,并保證每時段觀測時間≥4 h。利用三維無約束平差求得的平面坐標反算觀測平距。
2.5 垂直角測量
顧及大氣折光的影響,在垂直角測量時采用多光段、多測回的方法加以克服。但應舍棄規范中“組”的概念,每次盤左、盤右觀測即對應一個垂直角,觀測限差在相鄰兩垂直角之間執行,不在“組”之間執行。兩臺儀器對向觀測時,應使用通信設備,每測回觀測開始時間嚴格同步,結束時間差不大于15 s。觀測程序為:
1) 在A、C 點架設儀器,A-1、C-1 架設覘燈,兩岸同步觀測對岸覘燈,并測定垂直角;
2) A 點儀器和A-1 點覘燈不動,將C 點儀器和C-1點覘燈遷至D 點和D-1 點,兩岸同步觀測對岸覘燈,并測定垂直角;
3) D 點儀器和D-1 點覘燈不動,將A 點儀器和A-1點覘燈遷至B 點和B-1 點,兩岸同步觀測對岸覘燈,并測定垂直角;
4) B 點儀器和B-1 點覘燈不動,將D 點儀器和D-1覘燈重新遷至C 點和C-1 點,兩岸同步觀測對岸覘燈,并測定垂直角。至此第一個儀器位置的觀測結束,兩臺儀器共完成4 個單測回。
觀測時盤左依次照準覘燈上標志、下標志,盤右按相反次序照準下標志、上標志,上、下標志垂直角分別計算高差。半數測回結束后觀測員、儀器及覘燈一同調岸。
2.6 直接水準測量
直接水準測量一方面作為高程系的引入使用,另一方面可作為高程傳遞的檢核。按照一等水準要求測量同一觀測墩儀器安置點和覘燈安置點( 螺絲頂端) 間、同岸儀器安置點間及儀器安置點和固定點間的高差,并以此作為計算和檢核的基準。
2.7 限差驗算
同一條測線各雙測回的互差限差應符合式( 4) 規定的限值:
![]()
式中,MΔ 為每千米水準測量的偶然中誤差,單位為mm; N 為雙測回的測回數; S 為跨河視線長度,單位為km。
用同一光段的各條測線高差計算圖形閉合差,結果應不大于式( 5) 規定的限值:
![]()
式中,MW 為每千米水準測量的全中誤差,單位為mm; S 為跨河視線長度,單位為km。
3、實例驗證
此次蘇通段一等跨河水準測量采用以上方法于2017年10 月施測。跨江地點位于常熟市至南通市之間,蘇通公路大橋西約1 000 m 處。測線長度約為4.6 km,視線高度南岸約12 m,北岸約8 m,通視良好。跨江圖形的布設如圖所示。

其中,SL1—ST01、SL01—ST02、SL03—ST04、SL03—SL2、ST01—ST01 - 1、ST02—ST02 - 1、ST03—ST03 - 1 及ST04—ST04-1 各邊高差采用天寶DiNi03 數字水準儀按照一等水準測量要求施測; 各測線邊長采用4 臺天寶5700 型GPS 接收機及扼流圈天線共觀測3 個時段; 垂直角測量采用覘燈和兩臺測角精度為0.5″的全站儀—LeicaTCA2003、LeicaTS30( 高度標定見表1、表2) ,參照規范要求施測30 光段, 60 個雙測回。一光段內每條測線垂直角觀測16 個測回,即每條測線垂直角共觀測480 個測回。

全站儀標定成果

覘燈標定成果
由大地四邊形組成6 個閉合圖形( 其中3 個為獨立閉合圖形) ,每光段分別計算閉合差,經內業驗算得知: 施測的30 個光段中有5 個光段存在部分圖形閉合差超限現象,分析超限的原因為氣溫突變時江面大氣折光影響變化較快導致部分測線高差值偏小,重測此類測線后發現30 個光段中每條測線光段間高差較差及每光段內各圖形閉合差均滿足限差要求。其中,光段間高差互差最大為29.50 mm,小于限差31. 18 mm; 圖形閉合差最大為12.81 mm,小于限差13.42 mm; 中數閉合差最大3.70 mm,最小0.39 mm。各圖形閉合差統計結果由表3 列出:其中,3個獨立圖形分別為ST01-ST02-ST03、ST01-ST02-ST04 及ST01-ST03-ST04,由三者的中數閉合差計算每公里高程測量的高差中誤差為0.55 mm/km。由此可見,本文提出的施測方案完全能夠滿足長距離一等跨河水準測量的精度要求。

圖形閉合差統計結果
4、結束語
本文通過對三角高程測量精度影響因子的分析,制訂長距離跨河水準測量施測方案,并在蘇通段一等跨河水準測量中予以驗證。結果證明,采用高精度儀器、特制的覘燈,并遵循科學的觀測方法,能夠有效減弱垂直角觀測及大氣折光對三角高程測量精度的影響,并使其滿足長距離跨河水準測量的精度要求。因此,本文提出的施測方案可適用于高精度跨河水準測量、高精度跨江水準測量以及高精度跨海水準測量。
更多相關
徠卡MS60全站儀帶您體驗效率與精度完美結合的滑坡監測新方案!
我國西南地區,特別是西南丘陵山區,最基本的地形地貌特征就是山體眾多,山勢陡峻,土壤結構疏松,易積水,溝谷河流遍布于山體之中,與之相互切割,因而形成眾多的具有足夠滑動空間的斜坡體和切割面。廣泛存在滑...
RTK測量儀器如何選擇?
RTK測量儀器怎樣選擇?隨著測量測繪技術的快速發展和廣泛應用,RTK主機的功能和性能也在不斷完善。技術進步的提升,隨之而來的是產品的更新迭代,市面上各種RTK測量儀琳瑯滿目。那么問題來了!市面上的測繪...
徠卡TZ08全站儀,城市測量好伴侶!!!
某地級市自來水公司接到某小區自來水管線報裝申請,需實地對前期預埋自來水管線閥門、水表進行實地核實勘測,同時采集其精確位置信息用于城市自來水官網系統的更新。該小區臨近主干道高架橋,內部均為二十多層的...
當RTK參加世界杯,哪種陣容能“hold住”全場?
2022卡塔爾世界杯已經打響,這可能是“絕代雙驕梅羅”的最后一舞,甚至是一眾巨星的“諸神黃昏”,而隨著阿根廷爆冷遭沙特逆轉、日本2比1逆轉德國,熱血球迷已將氛...
中海達HD-550全數字化測深儀 技術特點與優勢
中海達HD-550全數字化測深儀是廣州中海達衛星導航技術股份有限公司研發的一款高性能水下地形測量設備,代表了當前國內數字化測深技術的先進水平。該設備集成了數字化信號處理、高精度水深測量和實時數據采集等...
給自己一個干測繪的理由
老劉是一位從事測繪地信行業十余年的老測量員了。前段時間坐一起聊天,感嘆人生不易,過往辛苦,說別人是“歲月催人老”,自己是“工作性質使人老”。 他說,網上有個段子,是關于測繪專業的: 如果你某天...
千尋星地通RTK介紹 無懼電離層影響
千尋星地通RTK無需千尋知寸CORS賬號千尋星地通,是一款集成在千尋位置云端一體、星地一體和軟硬一體的智能化終端中,將地基、網絡星基、衛星星基能力深度融合,并通過AI智能切換,實現覆蓋全域、全場景的...
千尋星地通RTK介紹
千尋星地通RTK(RealTimeKinematic)服務是由千尋位置網絡有限公司提供的高精度實時動態定位服務。千尋位置是一家專注于高精度定位服務和時空智能解決方案的企業,其服務廣泛應用于多個領域...











環球測繪微信